AYSTORY
algo_lec8 본문
Today's Topics
- Dynamic programming
- Example1 binomial coefficients
- Example2 longest increasing subsequence
Dynamic Programming (DP)
정의 및 특징
- 문제를 부분 문제로 나눈 뒤, 반복되는 계산을 피하기 위해 결과를 저장하여 사용하는 최적화 기법
- Divide-and-Conquer와 차이점
- Divide-and-Conquer는 재귀적으로 호출만
- Dynamic Programming은 결과를 저장(Memoization or Tabulation)
- 핵심 구성:
- 점화식(Recursive property)
- 하향식(Memoization) 혹은 상향식(Tabulation)
- 저장된 값을 재사용 (Overlapping Subproblems)
- "Bottom-up approach"
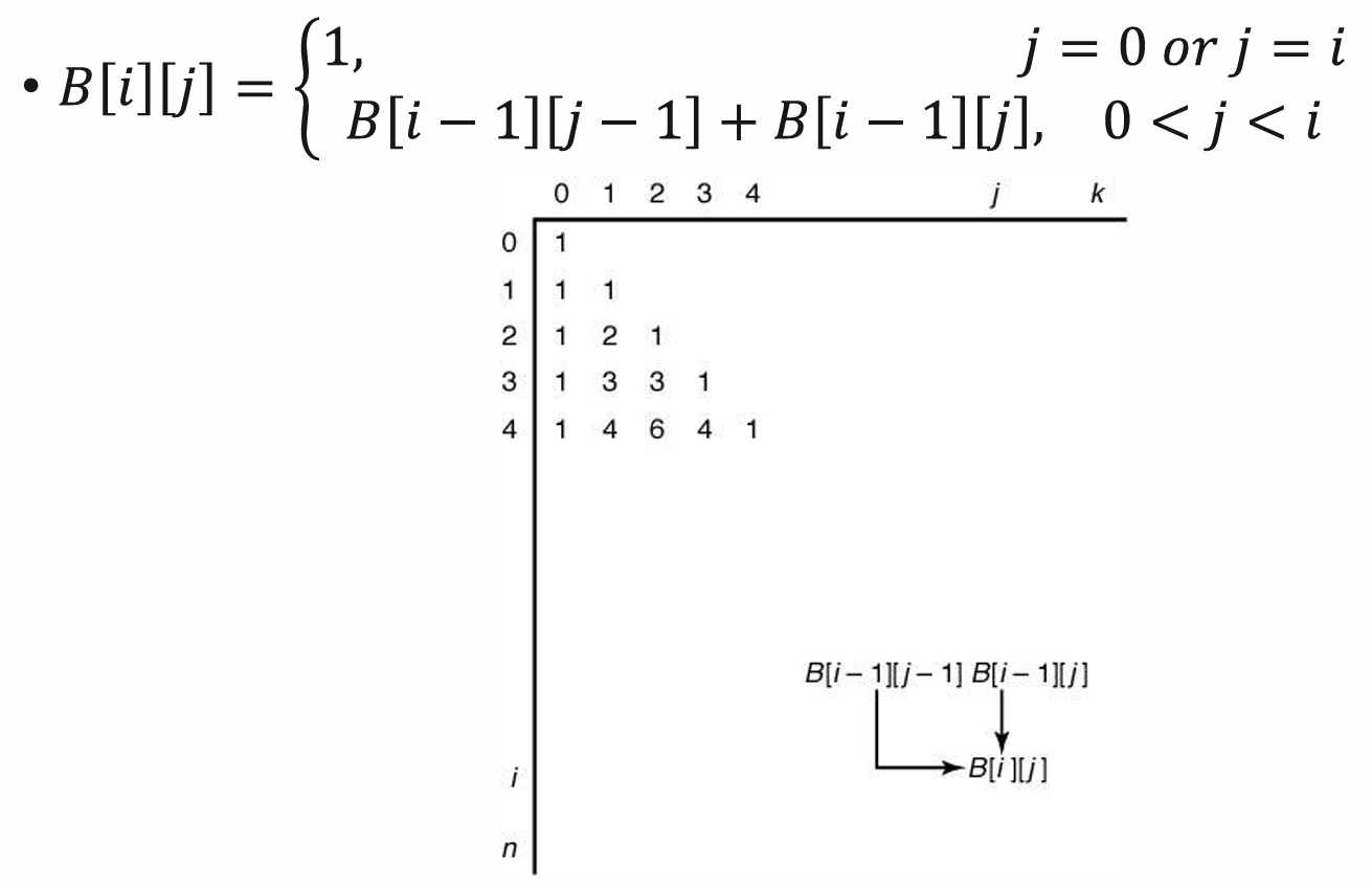
Example 1: Binomial Coefficient (이항 계수)

구현
def binomial_recursive(n, k):
if k == 0 or k == n:
return 1
return binomial_recursive(n - 1, k - 1) + binomial_recursive(n - 1, k)
# 예시 실행
print("C(5, 2) =", binomial_recursive(5, 2))
- 재귀적 방법: 매우 비효율적 (중복 계산 다수) ∴ Keep results of binomial(i,j) using a temporary 2D-array B where B[i,j] contains the value of (i j)

- DP (Bottom-up) 기반 code
def binomial_dp(n, k):
B = [[0 for _ in range(k + 1)] for _ in range(n + 1)]
for i in range(n + 1):
for j in range(min(i, k) + 1):
if j == 0 or j == i:
B[i][j] = 1
else:
B[i][j] = B[i - 1][j - 1] + B[i - 1][j]
return B[n][k]
# 예시 실행
print("C(5, 2) =", binomial_dp(5, 2))



- 시간복잡도: O(nk)
- 공간복잡도: O(nk) → 개선 가능 (공간 재사용)

Pascal's Triangle (파스칼 삼각형) 구현: 공간 효율적

def pascal_triangle(n):
result = []
for i in range(1, n + 1): # i: 1부터 n까지
B = 1 # 각 줄의 첫 번째 값은 항상 1
line = []
for j in range(1, i + 1):
line.append(B)
# 다음 항 계산 (DP적 재사용)
B = B * (i - j) // j
result.append(line)
return result
# 예시 실행
n = 5
triangle = pascal_triangle(n)
# 출력
for row in triangle:
print(row)
Example 2: Longest Increasing Subsequence (LIS)
문제 설명
- 주어진 수열에서 증가하는 부분 수열 중 가장 긴 길이 구하기
- 인접하지 않아도 되며, 왼쪽 → 오른쪽 순서만 유지
- 예제
- S=(9,5,2,8,7,3,1,6,4): the longest increasing subsequence has length 3 and is either (2,3,4) or (2,3,6)

점화식
- hₖ 정의 및 설명
- → hₖ는 원소 aₖ로 끝나는 가장 긴 증가 부분 수열의 길이라고 정의한다.
- → i번째 원소를 포함하는 가장 긴 증가 부분 수열은, i보다 왼쪽에 위치한 원소들 중에서
aᵢ보다 작은 원소로 끝나는 가장 긴 증가 부분 수열 뒤에 aᵢ를 덧붙여 만들어진다.

[ LIS(Longest Increasing Subsequence) 알고리즘이 동작하는 과정을 보여주는 핵심 예제]
- hᵢ: 원소 aᵢ로 끝나는 가장 긴 증가 부분 수열의 길이
- predecessor(i): aᵢ 바로 이전에 오는 LIS 원소의 인덱스


구현
def lis(arr):
n = len(arr)
h = [1] * n
for i in range(1, n):
for j in range(i):
if arr[i] > arr[j] and h[i] < h[j] + 1:
h[i] = h[j] + 1
return max(h)
#test code
arr=[10,22,9,33,21,50,41,60]
print "Length of lis is", lis(arr)
복잡도
- Time Complexity: O(n²)
- Space-Complexity: O(n)
'Computer Algorithms' 카테고리의 다른 글
| algo_lec10 (0) | 2025.04.24 |
|---|---|
| algo_lec9 (0) | 2025.04.24 |
| algo_lec7 (0) | 2025.04.14 |
| algo_lec6 (1) | 2025.04.13 |
| algo_lec5 (0) | 2025.04.13 |
