AYSTORY
algo_lec3 본문
알고리즘 분석 (Part 2)
Practice 1 – Big-O Notation
- 5n2=O(n2)5n^2 = O(n^2): 참, c=6,n0=1c = 6, n_0 = 1
- 5n2+3=O(n2)5n^2 + 3 = O(n^2): 참, c=6,n0=2c = 6, n_0 = 2
- n3=O(n2)n^3 = O(n^2)?: 거짓. n≤cn \le c 가 항상 성립할 수 없기 때문
Practice 2 – Big-Omega Notation
- 5n2=Ω(n2)5n^2 = \Omega(n^2): 참, c=4,n0=1c = 4, n_0 = 1
- 5n2+3=Ω(n2)5n^2 + 3 = \Omega(n^2): 참, c=1,n0=1c = 1, n_0 = 1
- n=Ω(n2)n = \Omega(n^2)?: 거짓. n≥cn2n \ge c n^2 를 만족하는 c는 없음
Big-O 복습
- 점근적 상한 (asymptotic upper bound)
- 예: n^2 + n, 2nlogn+3n ∈ O(n^2)
Big-Omega 복습
- 점근적 하한 (asymptotic lower bound)
- 예: n^2 + n, 5n^2 + 15 ∈ Ω(n^2)
Big-Theta 복습
- 정확한 점근적 경계 (exact bound)
- Θ(f(n))=O(f(n))∩Ω(f(n))
- 예: 5n^2 + 15 ∈ Θ(n^2)
시간복잡도 예시 – 선형 탐색 복습
def search(arr, x):
for index, value in enumerate(arr):
if value == x:
return index
return -1
if __name__ == '__main__':
arr = [1, 10, 30, 15]
x = 30
# Function call
print(x, "is present at index", search(arr, x))
- Worst-case (W(n)): 타겟이 없거나 마지막 → O(n)
- Average-case (A(n)):
- 총 비교횟수: (1+2+...+n) + n = n(n+1) / 2+n
- 평균: A(n) = (n(n+1)/2+n) / (n+1)=n/2 = O(n)
Amortized Analysis – Accounting Method 복습
- push: $2 지불 → $1은 실제 비용, $1은 계좌에 저장
- pop: $0 지불 → 계좌에서 $1 차감
- multipop: pop과 동일
- 모든 연산의 평균 비용: O(1)
n회 수행 시 Amortized Time 복습
연산 Amortized 시간복잡도
| push | O(n) |
| pop | O(n) |
| multipop | O(n) |
→ 전체 비용은 O(n) → 개별 연산 평균 O(1)
Amortized Analysis – Potential Method
- 잠재 에너지(Φ)는 자료구조에 저장된 에너지
- 연산이 D₀ → D₁로 구조를 바꿀 때: Amortized Cost=real cost + Φ(D1) − Φ(D0)
- 스택에서 Φ(D) = 항목 수로 정의
예시:
- push: 실제 비용 1, Φ증가 1 → 총 2 = O(1)
- pop: 실제 비용 1, Φ감소 -1 → 총 0 = O(1)
- multipop(k): 실제 비용 min(k, s), Φ감소 동일 → 총 0 = O(1)
→ 평균적으로 모든 연산이 O(1)
공간복잡도 (Space Complexity)
- 저장 공간은 다음으로 구성:
- 명령어, 상수, 변수
- 입력 데이터
- 추가 작업 공간 (자료구조 등)
- 입력이 배열로 주어지면 추가 공간만 분석
- 그래프처럼 표현 방식이 다양할 경우, 입력 + 추가 공간 모두 분석
- Worst-case, Average-case 공간복잡도 분석 가능
Divide and Conquer (분할 정복)
- 큰 문제를 작게 나누고, 각 문제를 해결 후 결과를 병합
- Top-down 방식
- 단계: Divide → Conquer → Combine
재귀관계 표현

예제 1: Binary Search
- 정렬된 배열에서 이진 탐색
- T(n) = T(n/2) + 1
- 풀이는 다음과 같이 전개됨

- 결정 트리의 깊이로 나타낼 수 있음
- 최악 비교 횟수는 ≥ log2(n+1)
예제 2: 최대값 찾기 Find the maximum (findMax)
def findMax(arr, start, end):
if start == end:
return arr[start]
mid = (start + end) // 2
lmax = findMax(arr, start, mid)
rmax = findMax(arr, mid+1, end)
return max(lmax, rmax)
- 재귀 관계

예제 3: 곱셈 알고리즘
3-1. 반복적 곱셈

def multiply(x, y):
if y == 0:
return 0
z = multiply(x, int(y/2))
if y%2 == 0 #even number
return 2*z
else #odd number
return 2*z + x
- n = y의 비트 수
- 시간복잡도: O(n)
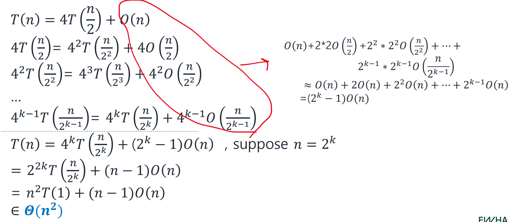
3-2. Divide & Conquer 곱셈

- 곱셈 4번 필요
- 재귀 관계:

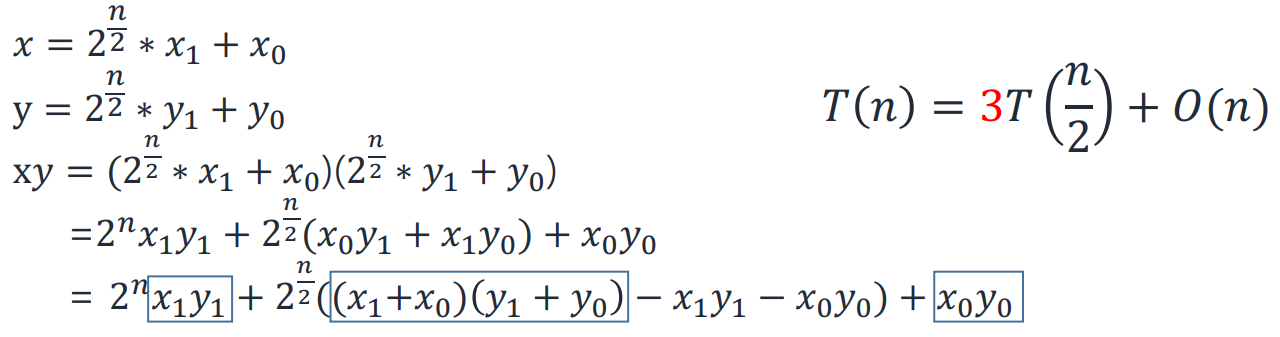
3-3. Karatsuba multiplication
- 곱셈을 3번으로 줄임: T(n) = 3T(n/2)+O(n) ⇒ Θ(n log2 3) ≈ Θ(n^1.585)


재귀 관계 예제 풀이
예제 1

