AYSTORY
algo_lec4 본문
Divide and Conquer (Part 2)
Today’s topics
- Modular exponentiation (모듈러 지수 연산)
- Matrix multiplication (행렬 곱셈)
- Merge sort (병합 정렬)
1. Modular Exponentiation 지수승
개념
- RSA 암호 시스템에서 자주 등장
- 수백 비트 크기의 수 x, y, N에 대해 x^y (mod N)을 효율적으로 계산해야 함
모듈러 연산 성질
- 덧셈: (x+y)+z ≡ x+(y+z)
- 곱셈: xy ≡ yx (mod N)
- 분배법칙: x(y+z) ≡ xy+xz (mod N)
- Equivalence class mod N: 정수 전체를 N개의 클래스 {i + kN}로 나눌 수 있음
- 예: N = 3
- {…, -3, 0, 3, 6, …}, {…, -2, 1, 4, 7, …}, {…, -1, 2, 5, 8, …}
- 예: N = 3
모듈러 계산의 Rule
- x ≡ x′ mod N, y ≡ y′ mod N 이면, x+y ≡ x′+y′ (mod N), xy ≡ x′y′ (mod N).
- 중간 계산에서 언제든지 모듈러 연산 가능 (계산 효율성 증가)
예시:
2^10 mod 31 = 1024 mod 31 = 1
효율적 계산 방법
- x^y mod N → 지수를 절반씩 나눔

Examples: 11^7 mod 13

구현 (Python)
def mod_exponent(x, y, n):
if y == 0:
return 1
elif y % 2 == 0:
s = mod_exponent(x, y // 2, n)
return (s * s) % n
else:
s = mod_exponent(x, y - 1, n)
return (x * s) % n

Modular exponentiation - time complexity
- x, y, N: n비트 수
- 총 재귀 호출: O(n)회
- 각 호출당 곱셈 연산: O(n²)
→ 전체 시간복잡도: O(n³) 비트 연산
2. Matrix Multiplication (행렬 곱셈)
Divide and Conquer 방식
- n×n 행렬을 2^k×2^k 로 가정
- 행렬을 4개의 n/2×n/2 서브행렬로 나눔


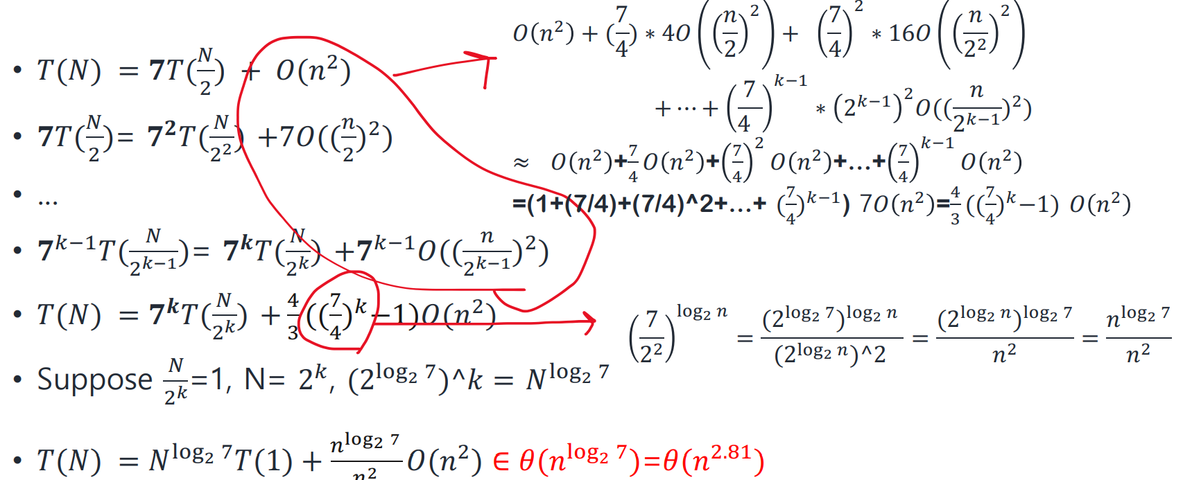
Strassen’s Algorithm
- 곱셈을 8 → 7회로 줄임, 대신 덧셈/뺄셈 증가
- 시간복잡도


3. Merge Sort (병합 정렬)
개요
- 배열을 반으로 나눔
- 각 부분을 재귀적으로 정렬
- 정렬된 두 배열을 병합
→ 분할 정복 방식
Merge Sort Examples


구현 코드 (copy 방식)
def merge_sort(arr):
if len(arr) < 2:
return arr
mid = len(arr) // 2
left_arr = merge_sort(arr[:mid])
right_arr = merge_sort(arr[mid:])
final_arr = []
l = r = 0
while l < len(left_arr) and r < len(right_arr):
if left_arr[l] < right_arr[r]:
final_arr.append(left_arr[l])
l += 1
else:
final_arr.append(right_arr[r])
r += 1
final_arr += left_arr[l:]
final_arr += right_arr[r:]
return final_arr
- What about the # of while loops in the worst case?
- len(left_arr)+len)right_arr)-1 = h+m-1
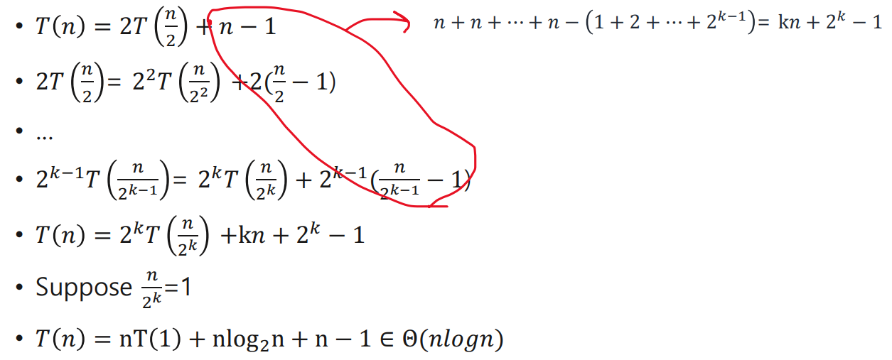
시간복잡도 분석
- 병합 연산: O(n)
- 재귀 깊이: log2n
- 전체 시간복잡도: T(n) = 2T(n/2)+n-1 ⇒ T(n)=nT(1)+log2 n(n-1) ∈ Θ(nlogn).

단점 Downside
- 정렬 과정에서 Temporary arrays(복사 배열)이 필요함 (e.g., left_arr, right_arr, final_arr)
- → in-place 정렬 아님
In-place Merge Sort
- Only requires moving indices of arr.
def merge(arr, start, mid, end):
start2 = mid + 1
if arr[mid] <= arr[start2]:
return
while start <= mid and start2 <= end:
if arr[start] <= arr[start2]:
start += 1
else:
value = arr[start2]
index = start2
while index != start:
arr[index] = arr[index - 1]
index -= 1
arr[start] = value
start += 1
mid += 1
start2 += 1
def mergeSort(arr, l, r):
if l < r:
m = l + (r - l) // 2
mergeSort(arr, l, m)
mergeSort(arr, m + 1, r)
merge(arr, l, m, r)
- in-place sort란, 추가 배열 없이 인덱스 이동으로 구현하는 정렬 알고리즘

